2022年終盤點:NSCLC靶向治療之ROS1篇
在過去十年中,晚期非小細胞肺癌 (NSCLC) 的診斷測試、治療和預后方面取得了重大進展。最重要的進展之一是確定了定義 NSCLC 子集的特定基因改變。2007 年首次描述了 NSCLC 中的ROS1重排。大約 1%-2% 的 NSCLC 患者存在這種重排,這已成為多種酪氨酸激酶抑制劑 (TKI) 的成功靶點。2016 年,克唑替尼是美國食品藥品監督管理局 (FDA) 批準的第一個用于治療晚期ROS1 NSCLC 的 TKI。從那時起,恩曲替尼和勞拉替尼成為治療選擇。目前正在開發具有更好顱內活性的更有效的 TKI。下邊我們將重點關注攜帶ROS1晚期NSCLC患者的用藥管理,深入了解這一NSCLC亞組的新興療法。
01、克唑替尼(crizotinib)
根據?項臨床前、回顧性和前瞻性研究的結果,克唑替尼多年來?直代表 ROS1 陽性 NSCLC?線治療的金標準。NCCN指南自 2013 年1月起推薦克唑替尼用于 ROS1 陽性 NSCLC,FDA于 2016 年 3 月 11 日批準克唑替尼用于 ROS1 陽性 NSCLC。ROS1 的批準基于一項 I 期單臂研究 (PROFILE 1001),該研究顯示研究者評估的客觀緩解率 (ORR) 為 72%(95% 置信區間 (CI) 58–84),獨立放射學審查(IRR ) ORR 為 66% (95% CI 51–79),IRR 中位反應持續時間 (DoR) 為 17.6 個月。2020年CSCO已將克唑替尼作為ROS1陽性的晚期NSCLC治療I級推薦。
OO12-01研究【1】評估了克唑替尼治療ROS1陽性晚期NSCLC東亞患者的療效及安全性,結果顯示:IRR 的 ORR 為 71.7%(95% CI,63.0% 至 79.3%),其中 17 例完全緩解,74 例部分緩解。IRR 的中位無進展生存期為 15.9 個月(95% CI,12.9 至 24.0 個月)。該研究證明了在東亞 ROS1 陽性晚期 NSCLC 患者中使用克唑替尼具有臨床意義的獲益和持久反應。

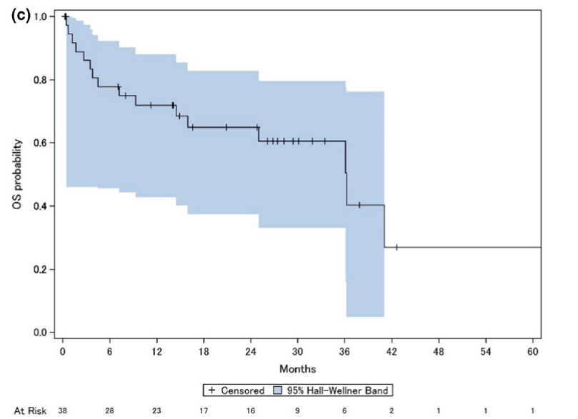
一項研究【2】描述了接受克唑替尼治療的 ROS1 陽性晚期 NSCLC 患者的真實世界結果。與臨床試驗相比,接受克唑替尼治療的 ROS1 陽性晚期 NSCLC 患者預后較差。研究發現中位總生存期為 36.2 個月,比 PROFILE 1001 短,但與東亞 (OO12-1) 臨床試驗相似。與臨床試驗中調查的人群相比,該真實世界人群年齡較大,吸煙者和 ECOG 體能狀態較差的患者比例更高。盡管如此,研究結果支持克唑替尼在 ROS1 陽性晚期 NSCLC 患者人群中的臨床獲益。

02、恩曲替尼(entrectinib)
恩曲替尼是?前可?的另?種?服 TKI,可有效治療ROS1 重排的 NSCLC, 由于其具有穿過?腦屏障的潛?,因此對腦轉移特別有效。8月15日,中國國家藥品監督管理局正式批準了恩曲替尼用于治療ROS1陽性的局部晚期或轉移性NSCLC成人患者。值得注意的是,在2022版CSCO指南制定時,恩曲替尼尚未在國內獲批上市,因此推薦為一線治療藥物,但僅作為Ⅲ級推薦。
在針對恩曲替尼在ROS1融合陽性NSCLC中的長期療效和安全性的綜合分析中【3】顯示:在168名ROS1 TKI初治患者中,中位生存期隨訪時間為29.1個月。ORR為68%;中位DoR為20.5個月。中位無進展生存期(PFS)為15.7個月,中位OS為47.8個月。在25例可測量基線CNS轉移患者中,顱內ORR為80%(95%CI:59.3-93.2),中位顱內DoR為12.9個月,中位顱內PFS為8.8個月。在既往克唑替尼治療僅中樞神經系統進展的18例患者中,2例達到部分緩解(11%),4例病情穩定(22%)。在該隊列的 7 名可測量 CNS 疾病患者中,顱內 ORR 為 14%(1 例部分緩解)。

在最近2022年 IASLC 世界肺癌大會上【4】證明了恩曲替尼在ROS1融合陽性包括CNS轉移的NSCLC患者的有效性和安全性。結果顯示172例接受恩曲替尼治療的ROS1融合陽性NSCLC患者的客觀緩解率 (ORR) 為 67.4%,60 名基線 CNS 轉移患者的客觀緩解率 (ORR) 為 63.3%,而 112 名無基線腦部疾病患者的客觀緩解率 (ORR) 為 69.6%。在67例接受恩曲替尼一線治療的患者中 ORR 為 68.7%,中位 PFS 和 OS 分別為 17.7 和 47.7 個月。

03、塞瑞替尼(Ceritinib)
之前JCO就報道過塞瑞替尼針對ROS1重排的非小細胞肺癌患者的臨床研究,研究共納入32例晚期NSCLC患者,除2例患者外,所有患者均未接受過克唑替尼治療。這些患者接受塞瑞替尼750mg/次,1次/日的治療。
客觀緩解率為62%(95% CI, 45%~ 77%),其中1例完全緩解,19例部分緩解;緩解持續時間為21.0個月(95% CI, 17~ 25個月);疾病控制率為81%(95% CI, 65%~ 91%)。所有患者中位無進展生存期為9.3個月(95% CI, 0~ 22個月),未接受過克唑替尼治療患者的中位無進展生存期為19.3個月(95% CI, 1~ 37個月)。中位總生存期為24個月(95% CI, 5~ 43個月)。
04、勞拉替尼(lorlatinib)
勞拉替尼是一種有效的腦滲透劑第三代酪氨酸激酶抑制劑(TKI)靶向 ALK 和 ROS1,對大多數已知耐藥性具有臨床前活性 ALK 和 ROS1 的突變。
2019年10月,《柳葉刀》雜志公布了勞拉替尼治療ROS1陽性NSCLC的1/2期研究結果。該研究共納入69例ROS1陽性NSCLC患者。結果顯示,總人群的ORR達到41%。未接受過靶向治療的患者ORR達到62%,中位PFS(無進展生存期)為21個月。在11例腦轉移患者中,顱內ORR為64%。40例既往只接受過克唑替尼靶向治療的患者中,ORR為35%,中位PFS為8.5個月。24例腦轉移患者中,顱內ORR為50%。
05、瑞普替尼(Repotrectinib)
在TRIDENT-1試驗中,探究了新一代的TKI藥物瑞普替尼(Repotrectinib)作為單藥治療非小細胞肺癌患者的療效。在總共7例先前未接受過TKI治療的ROS1陽性非小細胞肺癌(NSCLC)患者中,有6例達到了確診反應(CR)。在該人群中報告的客觀緩解率(ORR)為86%,緩解持續時間(DoR)為0.9個月至2個月。值得注意的是,在數據截止時,所有對治療有反應的患者仍然有反應!
06、他來替尼(Taletrectinib)
2022 年 8 月 3 日,FDA 授予 taletrectinib 突破性療法資格【5】,用于治療未接受過 ROS1 抑制劑治療或之前接受過克唑替尼治療的晚期或轉移性ROS1陽性 NSCLC成年患者。該名稱基于正在進行的 2 期 TRUST 試驗 (NCT04395677) 的結果,該試驗評估了總體反應率 (ORR) 的主要終點和包括疾病控制率 (DCR)、無進展生存期 (PFS) 在內的次要終點和安全性。
在 TRUST 中,克唑替尼初治患者的 ORR 為 92.5%,DCR 為 95.5%。克唑替尼預處理患者的 ORR 為 50.0%,DCR 為 78.9%。此外,在 5名 ROS1 G2032R 突變患者中,ORR 為 80%,其中 4 名達到部分反應,1 名達到穩定疾病。在具有可測量腦部病灶的患者中,顱內 ORR 為 91.7%,顱內 DCR 為 100%。兩個隊列均未達到中位 PFS。
07、卡博替尼(Cabozantinib)
卡博替尼是?種可?服的多靶點 TKI(對 AXL、KIT、MET、RET、ROS1、 VEGFR2、TIE2 有活性),?前可?于腎細胞癌和甲狀腺髓樣癌。卡博替尼在對克唑替尼和塞瑞替尼產?耐藥性的 ROS1 陽性 NSCLC 患者中顯?出療效。報告了四名既往接受過治療的患者(其中三名接受過克唑 替尼和?瑞替尼)的病例系列【6】的結果;在該系列中,卡博替尼在?名患者中實現了 100% DCR 和 OR,?中位 PFS 范圍為 4.9 ? 13.8 個? 。

然?,盡管卡博替尼在克服獲得性耐藥ROS1突變??取得了可喜的成果,但與其他 TKI 相?,該藥物的特點是具有挑戰性的毒性特征,報告的最常? AE 是中性粒細胞減少、??病和肺栓塞。
小結
總之,轉移性 NSCLC 的治療前景正在以令人難以置信的速度快速變化,ROS1重排也不例外。隨著ROS1 TKI 的不斷發展,治療順序變得更具挑戰性。在治療決策中需要權衡幾個因素,例如 CNS 活性、耐藥機制和耐受性。時至今日,克唑替尼和恩曲替尼是這些患者的標準一線治療藥物。勞拉替尼在二線環境中具有超適應癥;然而,它缺乏抗G2032抗性突變的活性。確定克服這種突變的治療策略至關重要。Repotrectinib 和 taletrectinib 是很有前途的下一代抑制劑,有可能靶向這種突變并改變ROS1 NSCLC 的治療前景【7】。
參考文獻
【1】Wu YL, Yang JC, Kim DW, Lu S, Zhou J, Seto T, Yang JJ, Yamamoto N, Ahn MJ, Takahashi T, Yamanaka T, Kemner A, Roychowdhury D, Paolini J, Usari T, Wilner KD, Goto K. Phase II Study of Crizotinib in East Asian Patients With ROS1-Positive Advanced Non-Small-Cell Lung Cancer. J Clin Oncol. 2018 May 10;36(14):1405-1411. doi: 10.1200/JCO.2017.75.5587. Epub 2018 Mar 29. PMID: 29596029.
【2】Waterhouse D, Iadeluca L, Sura S, Wilner K, Emir B, Krulewicz S, Espirito J, Bartolome L. Real-World Outcomes Among Crizotinib-Treated Patients with ROS1-Positive Advanced Non-Small-Cell Lung Cancer: A Community Oncology-Based Observational Study. Target Oncol. 2022 Jan;17(1):25-33. doi: 10.1007/s11523-021-00860-z. Epub 2021 Dec 29. PMID: 34964940; PMCID: PMC8783880.
【3】https://oncology.medicinematters.com/wclc-2022/non-small-cell-lung-cancer/startrk-alka-advanced-nsclc-ros1-entrectinib/23369710
【4】.Drilon A, Chiu CH, Fan Y, Cho BC, Lu S, Ahn MJ, Krebs MG, Liu SV, John T, Otterson GA, Tan DSW, Patil T, Dziadziuszko R, Massarelli E, Seto T, Doebele RC, Pitcher B, Kurtsikidze N, Heinzmann S, Siena S. Long-Term Efficacy and Safety of Entrectinib in ROS1 Fusion-Positive NSCLC. JTO Clin Res Rep. 2022 Apr 29;3(6):100332. doi: 10.1016/j.jtocrr.2022.100332. PMID: 35663414; PMCID: PMC9160474.
【5】.https://oncology.medicinematters.com/wclc-2022/non-small-cell-lung-cancer/startrk-alka-advanced-nsclc-ros1-entrectinib/23369710
5.https://www.onclive.com/view/taletrectinib-shows-promising-orr-and-tolerability-in-ros1-nsclc
【6】Sun TY, Niu X, Chakraborty A, Neal JW, Wakelee HA. Lengthy Progression-Free Survival and Intracranial Activity of Cabozantinib in Patients with Crizotinib and Ceritinib-Resistant ROS1-Positive Non-Small Cell Lung Cancer. J Thorac Oncol. 2019 Feb;14(2):e21-e24. doi: 10.1016/j.jtho.2018.08.2030. Epub 2018 Sep 11. PMID: 30217491.
【7】https://ascopubs.org/doi/full/10.1200/OP.20.00819