J Clin Oncol:非轉移性前列腺癌放療+短期雄激素剝奪療法的最佳順序
雄激素剝奪療法(ADT)與放療(RT)的順序可能會影響前列腺癌患者的預后,這與RT范圍的大小有關。在該研究中,研究人員評估了ADT順序對接受ADT伴單純前列腺RT(PORT)或全骨盆RT(WPRT)的前列腺癌患者預后的影響。

該研究納入了來自12個隨機試驗的患者數據,在這些隨機試驗中,前列腺癌患者接受了新輔助/同步或同步/輔助短期ADT(4-6個月)+局部放療治療。采用來源年齡、初始前列腺特異性抗原、Gleason評分、T分期、RT劑量和試驗中期入組年份的傾向評分進行治療加權逆概率(IPTW)。主要終點是無轉移生存期和總生存期(OS)。

兩組患者的不同終點結局
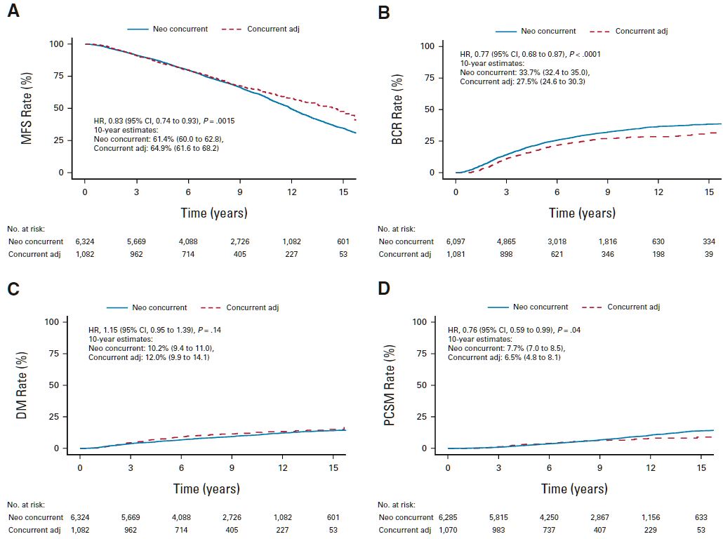
總體上,共納入了7409位患者(其中6325位接受了新輔助/同步ADT治療,1084位接受了同步/輔助ADT治療),中位隨訪了10.2年(四分位范圍:7.2-14.9年)。在除了OS的其他所有終點上都觀察到了ADT順序與RT范圍的顯著相互作用。在接受PORT的患者(n=4355)中,與新輔助/同步ADT相比,同步/輔助ADT與無轉移生存率(10年獲益 8.0%;HR 0.65,p<0.0001)、遠處轉移發生率(HR 0.52,p<0.0001)、前列腺癌特異性死亡率(HR 0.30,p<0.0001)和OS(HR 0.69,p=0.0001)提高相關。
但是,在接受WPRT的患者(n=3049)中,除了同步/輔助ADT治療的遠處轉移發生率更高(HR 1.57,p=0.0009)之外,在其他任何終點均未觀察到ADT順序的顯著差異。
總之,ADT順序對前列腺癌患者的臨床結果有顯著影響,并與放療范圍大小有顯著交互作用。同步/輔助ADT應該是聯合PORT的短期ADT的標準方案。
原始出處:
Ting Martin Ma, et al. Sequencing of Androgen-Deprivation Therapy of Short Duration With Radiotherapy for Nonmetastatic Prostate Cancer (SANDSTORM): A Pooled Analysis of 12 Randomized Trials. Journal of Clinical Oncology. October 21, 2022. https://ascopubs.org/doi/full/10.1200/JCO.22.00970
- 上一篇
Eur Urol Focus:用于建議對磁共振成像陰性的患者進行前列腺活檢的前列腺特異性抗原密度截止值是多少?
前列腺特異性抗原密度(PSAd)截止值0.15 ng/ml/cc是一個普遍推薦的閾值,用于那些前列腺磁共振成像(MRI)陰性的患者中,如若達到該閾值,則會推薦進行前列腺活檢。但目前無法找到任何明確考察該閾值與其他閾值相比較的研究。近期,來自美國的研究人員在《Eur Urol Focus》上發表文章,調查了臨界值0.15,對于選擇那些盡管MRI陰性但仍有高級別
- 下一篇
Eur Urol Oncol:高危前列腺癌患者中,新輔助177Lu-PSMA-I&T放射性核素治療的效果如何?
高危局部前列腺癌(HRLPC)在局部治療后仍有很大的疾病進展風險。在局部治療之前對原發性腫瘤和微轉移性疾病進行新的輔助性系統治療,也許可以改善腫瘤結果。近期,來自以色列的研究人員在《Eur Urol Oncol》上發表文章,評估了在機器人輔助前列腺根治術(RARP)之前,是否可以對HRLPC患者安全地使用镥-177前列腺特異性膜抗原放射配體(LuPSMA)治