Nat Med:胰腺癌免疫聯合療法,一年生存率增加近65%!
胰腺癌被稱為“癌癥之王”——一方面是因為早期胰腺癌少有癥狀,另一方面也是因為目前缺少有效的胰腺癌篩查和治療手段,這些都導致胰腺癌死亡率居高不下。
根據數據統計,胰腺導管腺癌(PDAC,最常見的一種胰腺癌)大多數情況下只有在晚期或者轉移后才得以確診,即使接受有效的診療,患者的5年生存率也不超過10%;轉移性胰腺導管腺癌患者即使接受標準的化療,患者的存活期通常也不到一年。因此,亟需針對胰腺癌治療的新方案。
在正在舉辦的2022年美國臨床腫瘤學會年會(ASCO 2022)上,賓夕法尼亞大學和帕克癌癥免疫療法研究所為我們帶來了最新的胰腺癌免疫聯合進展:一項全國性的隨機臨床試驗中,免疫療法聯合化學療法,將胰腺癌的1年生存率提高了近65%!這項最新的研究也同步發表在國際頂級期刊《Nature Medicine》雜志上。

該文章封面(圖片來源:《Nature Medicine》雜志官網)
本次研究納入了從2018年8月30日至2019年6月10日入組的99名患者,并隨機分配到3個治療組中,分別為免疫檢查點抑制劑nivolumab+化療組、CD40 激動劑抗體Sotigalimab+化療組以及三聯治療組(CD40 激動劑抗體Sotigalimab+免疫檢查點抑制劑nivolumab+化療)。整體的臨床試驗設計如下圖所示:

本次研究中,對于納入療效評估的患者,其隨訪的中位時間為24.2個月,患者的最短隨訪時間為15個月,研究的主要終點是比較不同的治療組和化療組治療的1年生存率的比較(化療組1年的歷史生存率為35%),次要的終點包括無進展生存期 (PFS)、緩解持續時間 (DOR)、客觀緩解率(ORR)和疾病控制率(DCR)。具體的臨床試驗結果如下圖所示:

根據研究結果顯示,相較于僅接受化療的患者來說,三組患者的1年生存率都有所提升。其中最明顯的則是免疫檢查點抑制劑nivolumab+化療組,患者的1年總生存率達到了57.7%,提升了64.8%,數據顯著提高(另外研究人員表示三聯組效果差可能和T細胞過度激活從而進入到耗竭狀態有關)。
本次治療中,有92名患者出現了需要特別關注的不良事件(AESIs),包括細胞因子釋放綜合征(CRS)、輸液反應、血小板減少以及肝功能測試升高 (LFT)等。不過在免疫檢查點抑制劑nivolumab+化療組未觀察到CRS發生,同時也未出現治療相關死亡。
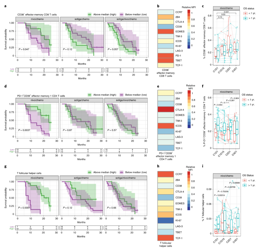
隨后研究人員對生存獲益顯著的免疫檢查點抑制劑nivolumab+化療組患者的T細胞進行了檢測,研究結果發現:該組患者之所以1年生存率有較大幅度提高,和免疫活性循環T細胞有密切的聯系——接受該聯合組治療后生存期大于1年的患者,其效應記憶CD8+ T細胞出現較高頻率的活化,同時CD4+ T細胞以及T 濾泡輔助細胞 (T fh)細胞也更多。

接受疫檢查點抑制劑nivolumab+化療后生存期更長的患者其多種T細胞亞型被激活的頻率和數量更多(圖片來源:參考資料1)
研究人員表示,這項在晚期胰腺癌患者中進行的研究顯示,免疫療法聯合化學療法對于提升晚期胰腺癌患者的生存期是有利的,同時根據患者的自身免疫情況可以進行調整,從而可以幫助患者獲得更好的治療效果。
近些年來,越來越多的免疫聯合療法出現,也給我們帶來了一個又一個振奮人心的消息。相信隨著免疫治療的進展,即使是晚期癌癥患者患者,也可以獲得更長的生存期和更好的生活質量。
- 上一篇
全癌種生存性別差異分析:女性在6種癌種中生存更好,而男性僅1種稍佳!
作為一個主要的公共衛生問題,癌癥是全球死亡主因之一。根據GLOBOCAN 2020年癌癥發病率和死亡率的估計,全球癌癥估計有1930萬例新發癌癥病例和1000萬例癌癥死亡。其中,新發癌癥病例和死亡人數男性(1010萬和550萬)都高于女性(920萬和440萬)。因此,性別可能是影響癌癥發病率和死亡率的重要因素。性別差異反映在生活的幾個方面,如激素水平,行為心
- 下一篇
ASCO 2022:秦叔逵、李進教授發現尼妥珠單抗聯合吉西他濱可提高胰腺癌患者療效
胰腺癌是最致命的惡性腫瘤之一,嚴重地威脅人類健康和生命。2020年全球新發病例逾49萬例、死亡病例逾46萬例。同時,胰腺癌起病隱匿,進展迅速,早診困難,80%左右的胰腺癌患者在診斷時已達局部晚期或者遠處轉移,預后惡劣。目前針對胰腺癌的治療方案無效,中位總生存期(mOS)只有6-8個月。 2022年美國臨床腫瘤學會(ASCO)年會上,我國消化道腫瘤專家南京金陵