Sci Rep:不愧為「癌中天使」?曾得甲狀腺癌的人再得肝癌,死亡風險竟減半!
原發性肝癌(PLC)是全球第四大癌癥相關死亡的主要原因。盡管治療手段取得了巨大進步,但PLC的5年生存率從5%到30%不等。在過去的20年里,肝癌一直是死亡率增加最大的腫瘤,發病率的穩步上升和高死亡率引起了人們的關注。

隨著癌癥治療的發展和早期診斷率的提高,長期癌癥幸存者的數量持續上升。更好的生存預期增加了癌癥幸存者發生第二原發性惡性腫瘤的可能性,迫切需要了解這些人群的臨床特征和生存結局。幾項研究報告說,既往癌癥史似乎對第二原發性癌癥的存活率有影響。甲狀腺癌作為具有高存活率的癌癥,其對原發性癌癥生存的影響也得到了討論。
本研究使用來自監測,流行病學和最終結果(SEER)數據庫的數據來分析有或沒有甲狀腺癌的PLC患者的生存情況,以確定甲狀腺癌史是否會影響PLC患者的生存。

研究人員從監測、流行病學和最終結果(SEER)數據庫2004-2016年期間數據選擇了合格的PLC患者。傾向評分匹配(PSM)用于創建一個高度可比的對照組,即PLC患者既往沒有甲狀腺癌。根據生存信息將所有PLC患者分為三組:(1)PLC特異性死亡;(二)因其他原因死亡的;(3)生存。效應大小由相應的風險比(HR)和95%置信區間(CI)表示。
研究最終納入共142例有甲狀腺癌史PLC患者和1420例既往無甲狀腺癌的PLC患者。患者平均年齡65.45±10.83歲,多數患者為男性(1052,67.35%),白人(1029,65.88%)和已婚(827,52.94%)。在隨訪期間,714名(45.71%)PLC患者死于肝癌,而638名(40.85%)PLC患者存活。比較既往無甲狀腺癌的PLC,既往甲狀腺癌患者的PLC存活月數更長(P <0.001)。
PLC患者的中位生存時間分別為11.00個月。圖2顯示了既往有和沒有甲狀腺癌的PLC患者中PLC特異性死亡的累積發生率。結果顯示,既往患有甲狀腺癌的PLC患者死于肝癌的風險較低(HR = 0.64;95% CI: 0.48–0.86),甲狀腺癌史可能是PLC患者肝癌死亡的保護因素(表 3)。

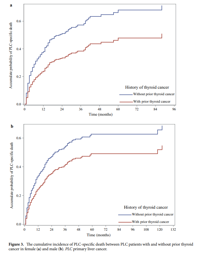
按性別分層的亞組分析顯示,女性患者與PLC的關系相似:既往甲狀腺癌女性患者的PLC死亡風險較低(HR = 0.49;95% CI:0.34–0.71,P < 0.001)。在模型2中,這種差異在上述亞組中仍然顯著。在模型3中,既往甲狀腺癌的潛在保護作用僅在PLC女性患者中發現(HR = 0.53;95%CI:0.32-0.90,P = 0.018)(表4)。

圖3a描述了有和沒有既往甲狀腺癌的女性PLC患者之間PLC特異性死亡的累積發生率。圖3b顯示了有和沒有先前甲狀腺癌的PLC患者之間PLC特異性死亡的累積發生率。既往甲狀腺癌可能是PLC患者肝癌死亡的保護因素,尤其是女性患者。

總的來說,既往甲狀腺癌可降低 PLC 患者(尤其是女性患者)發生 PLC 特異性死亡的風險。這意味著既往甲狀腺癌可能對PLC的發展有重要影響,研究人員和臨床醫生應更加關注既往甲狀腺癌對其與PLC相關的研究或診斷的潛在影響。
原文來源:
Liu, H., Heng, X., Tian, Y. et al. Effect of prior thyroid cancer on survival of primary liver cancer: a study based on the SEER database. Sci Rep 12, 13887 (2022). https://doi.org/10.1038/s41598-022-17729-4
- 上一篇
肝癌藥物Namodenoson在羅馬尼亞獲批作為同情用藥治療晚期肝癌
制藥公司Can-Fite BioPharma宣布,旗下在研肝癌藥物Namodenoson在羅馬尼亞獲批作為同情用藥治療晚期肝癌患者,已有一位接受治療的患者完全緩解,全身的轉移灶全都消失。 很多肝癌藥物都只能用于肝功能較好、Child-Pugh評分為A級的患者,而對肝功能處于臨界狀態的B級患者和處于失代償狀態的C級患者效果不佳。例如,目前肝癌一線治療的索拉非尼
- 下一篇
Cell Metabolism:林建諜團隊發現脂肪細胞可產生一種抑制肝癌的激素
非酒精性脂肪肝開始是肝臟中相對良性的脂肪堆積,但這種疾病會發展為非酒精性脂肪性肝炎(NASH),還會增加患肝癌的風險。 2022年8月15日,密歇根大學醫學中心林建諜教授團隊在 Cell 子刊 Cell Metabolism 上發表了題為:Neuregulin 4 suppresses NASH-HCC development by restraining