“心”進展:慢性腎臟病患者心衰癥狀分五類,特征、變化各不同
在此背景下,近日美國貝勒醫學院學者Walther等人在Am J Kidney Dis.(影響因子11.072)上發表了一項研究,調查了HF癥狀在CKD患者中的變化軌跡,并深入了解了HF癥狀的長期模式。研究發現,CKD患者的HF癥狀軌跡或可分為五類,對應類別患者的特征也有所不同。
研究方法
這是一項基于慢性腎功能不全隊列(CRIC)的前瞻性隊列研究,納入CRIC中無心衰病史的3044名CKD成人患者。納入標準:年齡21-44歲,eGFR20-70ml/min/1.73m2;年齡45-64歲,eGFR20-60ml/min/1.73m2;年齡65-74歲,20-50ml/min/1.73m2。
記錄社會人口統計學、病史、藥物、生命體征、實驗室、
研究結果
包含3044名成人CKD患者的隊列中,中位年齡為61歲,女性占比45.2%,46.0%的患者合并
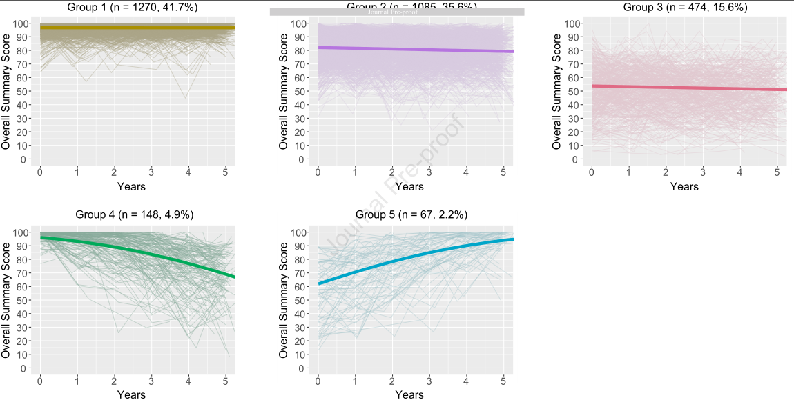
CKD患者的五大HF癥狀軌跡圖
根據模型特征和可解釋性,確定了五組線性軌跡模型(圖1)。HF癥狀軌跡依次為:
? 第1組(n=1270,41.7%):穩定高分組,表現為穩定的高分(即癥狀最輕,平均96分);
? 第2組(n=1085,35.6%):穩定中等分組,得分穩定相對較低(平均得分為81分);
? 第3組(n=474,15.6%):穩定低分組,得分穩定但較低(平均得分為52分);
? 第4組(n=148,4.9%):惡化組,得分明顯較基線惡化(5年內平均得分從96分降至65分);
? 第5組(n=67,2.2%):改善組,得分較基線明顯改善(5年內平均得分從62分升至95分)。

圖1 基于KCCQ評分的HF癥狀軌跡圖
五大HF軌跡圖的患者特征
各軌跡組患者的基線特征不同。第1組(穩定高分,即癥狀輕微)中男性、非糖尿病和非
研究結論
本研究在一組無HF病史的CKD患者中,確定了五種不同的HF癥狀長期軌跡,對應有不同的基線特征。這些結果凸顯了CKD患者HF癥狀的多樣性。CKD為進行性疾病且晚期CKD患心血管疾病的風險較高,但令人驚訝的是,本研究中3種最常見的HF軌跡類型在5年內表現出穩定的KCCQ評分,僅7.1%的患者的HF癥狀軌跡發生巨大變化。并且,超過40%(第1組)的患者5年內HF癥狀輕微。這些發現除了提示預防和治療策略的重要意義之外,還有助于深入了解HF癥狀的多樣性,以改善更多CKD患者的臨床癥狀,例如保持HF癥狀穩定高分和改善的變化軌跡。
參考文獻:Walther CP, Benoit JS, Bansal N, et al. Heart Failure-Type Symptom Score Trajectories in CKD: Findings From the Chronic Renal Insufficiency Cohort (CRIC) Study[J]. Am J Kidney Dis. 2022 Nov 17:S0272-6386(22)01041-1. doi: 10.1053/j.ajkd.2022.09.016.
- 上一篇
哪些因素易引起非透析CKD患者瘙癢? 來看看最新研究!
瘙癢是透析患者的常見癥狀之一。在腎小球濾過率(eGFR)為30-60 ml/min/1.73m2的患者中,瘙癢的患病率可能接近或超過40%。腎功能降低以及因此產生的尿毒癥毒素累積通常被認為是瘙癢的主要危險因素。關于非透析慢性腎臟病(CKD)患者的前瞻性隊列研究中,尚未評估過非透析CKD患者發生瘙癢的危險因素。12月14日,Clin J Am Soc Neph
- 下一篇
最新研究,靜脈補鐵對CKD3-5期非透析患者臨床影響如何?
鐵在血紅蛋白生成中起主要作用,缺鐵是非透析慢性腎臟病(ND-CKD)患者并發貧血的常見原因,但缺鐵原因可能是多樣的,例如尿毒癥相關血小板功能障礙所致慢性出血,膳食鐵吸收受影響等。慢性炎癥也在鐵的代謝過程中扮演著重要角色,通過影響鐵調素水平,導致胃腸道鐵吸收減少和鐵儲備下降,繼而阻礙了紅細胞生成,使血清鐵蛋白水平升高。ND-CKD患者可通過口服或靜脈途徑補鐵,