KNOW-CKD研究最新分析,血清甘油三酯水平與非透析慢性腎病患者的不良腎臟結局是否相關?
越來越多的證據表明,血脂異常可能加速CKD進展。一項納入2585名參與者的社區縱向隊列研究顯示,非CKD人群新發CKD風險與HDL-C水平與呈負相關。此外,日本最近發表的一項研究表明,較高的TG-HDL-C比值與CKD患者的估算腎小球濾過率(eGFR)快速下降相關。
迄今為止,評估血清TG水平與非透析CKD患者不良腎臟結局的相關性研究較少。11月24日,Front Nutr.(影響因子3.365)發表了一項研究,旨在評估非透析CKD患者血清TG水平與腎臟結局之間的關系。 研究發現,高血清TG水平與非透析CKD患者的不良腎結局獨立相關。
研究方法
韓國慢性腎臟病患者預后隊列研究(KNOW-CKD)是一項全國性的前瞻性隊列研究(NCT01630486),納入了2011年至2016年間來自韓國9家三級綜合醫院的CKD1期-5期的患者,年齡在20至75歲之間。
主要結局是腎臟復合事件,定義為腎功能下降(首次出現eGFR下降>50%或
研究結果
隨訪的2238例患者中,排除缺少基線血清TG數據的受試者,最終共納入2158名受試者進行分析。研究觀察期于2021年3月31日結束。中位隨訪時間為6.9年。
基線特征
根據血清TG水平,將參與者分為第一四分位數(Q1)、第二四分位數(Q2)、第三四分位數(Q3)和第4四分位數(Q4)。存在
非透析 CKD 患者血清 TG 水平與腎臟結局的關系
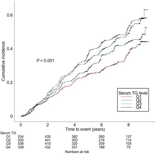
腎功能下降速率因血清TG水平而異,相比處于Q1的患者,處于Q4的患者eGFR下降速率明顯更快(P <0.05)。從腎臟復合事件發生情況來看,與處于Q1的患者相比,Q4患者的腎臟復合事件累積發生率更高(圖1),與處于Q1的患者相比,Q4患者發生復合腎事件的風險顯著升高(校正后的HR為1.433,95% CI為1.046至1.964)。

圖1. 血清TG水平對腎臟復合事件累積發生率影響的Kaplan-Meier生存曲線
敏感性分析
排除eGFR≥90ml/min/1.73m2或eGFR<15 ml/min/1.73m2的患者后,與處于Q1的患者相比,Q4的患者腎臟復合事件發生風險仍然更高。并且與處于Q1的患者相比,Q4患者的TG-HDL-C比值也更高。
亞組分析
在年齡<60歲(P=0.004),eGFR≥45ml/min/1.73m2(P=0.040),尿微量
研究結論
這項來自韓國的全國性、多中心、前瞻性隊列研究揭示了血清TG水平升高與非透析CKD患者的不良腎臟結局具有相關性,并且這種相關性會因不同臨床情況(例如年齡,eGFR和ACR)而改變。必要情況下,應進行干預性研究,以明確血清TG水平降低是否會改變CKD自然病程。
參考文獻:
Suh SH, Oh TR, Choi HS, et al. Serum triglycerides level is independently associated with renal outcomes in patients with non-dialysis chronic kidney disease: Results from KNOW-CKD study. Front Nutr. 2022 Nov 24;9:1037618. doi: 10.3389/fnut.2022.1037618.
- 上一篇
最新研究,靜脈補鐵對CKD3-5期非透析患者臨床影響如何?
鐵在血紅蛋白生成中起主要作用,缺鐵是非透析慢性腎臟病(ND-CKD)患者并發貧血的常見原因,但缺鐵原因可能是多樣的,例如尿毒癥相關血小板功能障礙所致慢性出血,膳食鐵吸收受影響等。慢性炎癥也在鐵的代謝過程中扮演著重要角色,通過影響鐵調素水平,導致胃腸道鐵吸收減少和鐵儲備下降,繼而阻礙了紅細胞生成,使血清鐵蛋白水平升高。ND-CKD患者可通過口服或靜脈途徑補鐵,
- 下一篇
腎小球腎炎女性患者可否生兒育女?快來看看最新臨床建議!
由于擔心腎病患者的腎功能和胎兒發育,既往并不鼓勵腎病女性妊娠。然而,這一理念已經發生了變化。有越來越多的證據表明,腎功能異常的女性患者也能成功的生育。值得注意的是,對于腎小球腎炎(GD)患者而言, 她們的妊娠結局有較大個體化差異,與體內的激素環境、腎臟病進展密切相關。然而,目前并未有關于妊娠期GD患者的相關臨床指南或建議,臨床決策面臨較大困難。2022年12