安醫大研究:單身增加死于胃癌的風險!日常催婚(1/1)......
胃癌(GC)是全球第五大常見癌癥和第三大癌癥相關死亡原因,2018年有超過100萬例新發病例和約78萬例死亡。在過去的幾十年里,GC一直是全球殘疾調整生命年增加的主要因素,特別是在GC高發病率地區,如日本,中國和其他亞洲地區。與晚期GC相比,早期GC通過根治性切除成功切除的機會更大,因此預后比后者更好。因此,早期診斷和治療GC以改善預后至關重要。

即使對于接受系統治療的早期GC患者,也很難準確預測GC預后。因此,結合治療后指標建立可靠的預測模型是有意義的。近年來,與前列腺癌、宮頸癌和直腸癌相關的婚姻狀況已成為一種創新的危險因素。但目前仍很少有研究關注社會因素對早期GC預后的影響。因此,本研究旨在結合臨床指標和社會因素,建立新的評分系統,為預測早期GC患者的總生存期(OS)提供依據。

本研究從SEER數據庫提取了141954例患者,最終納入了3647例適合的早期GC患者。其中1793例(49.2%)為男性,1854例(50.8%)為女性。關于婚姻狀況,1957人已婚,274人離婚,41人分居,630人喪偶,512人單身,233人被歸類為“未知”組。
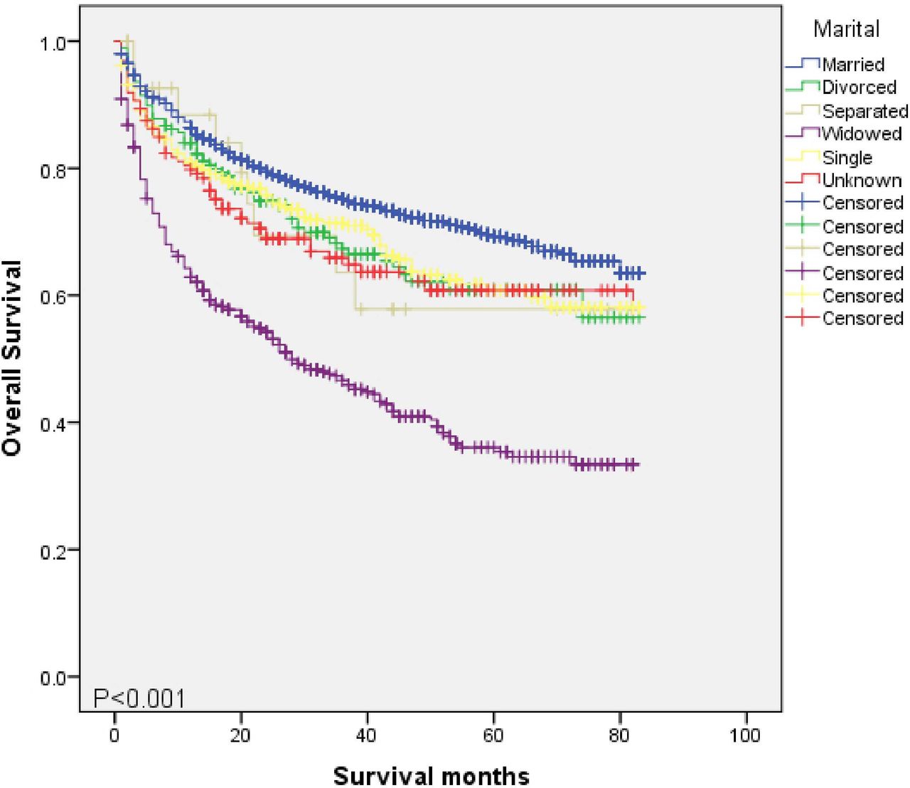
為了探索不同婚姻狀況群體對OS的影響,在訓練組中的所有患者中進行了Kaplan-Meier生存分析。如圖2所示,已婚個體預后最好(平均OS=72.084,95%CI=70.847~73.321),寡婦OS最差(平均OS=60.150,95%CI=57.057~63.244)。

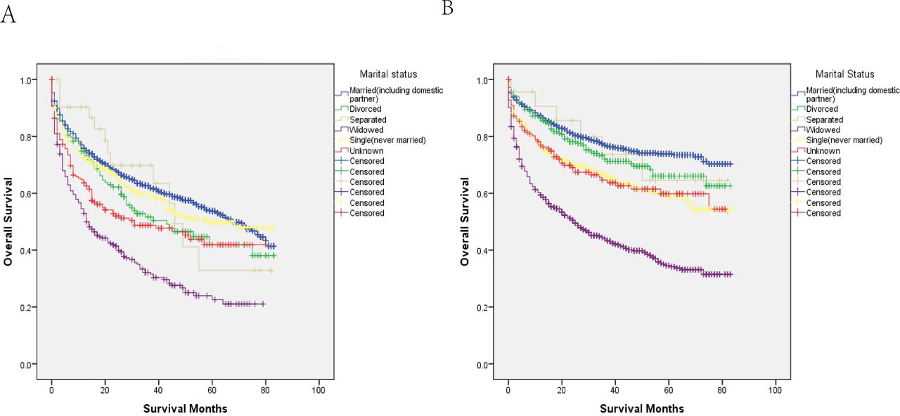
為了驗證性別是否與上述結果相關,研究人員對不同性別的GC患者進行了Kaplan-Meier生存分析。如圖3A,B所示,兩性之間的OS存在顯著差異(p<0.001)。在早期GC的男性和女性患者中,已婚個體的生存率最高(男性平均,OS=69.187,95% CI=67.446~70.928;女性平均OS=76.357,95% CI=74.783~77.930),喪偶者生存率最差(男性平均OS=51.704,95% CI=45.206~58.202;女性平均OS=61.885, 95% CI=58.476 至 65.293)。值得注意的是,離婚女性患者的生存率明顯優于離婚男性患者。

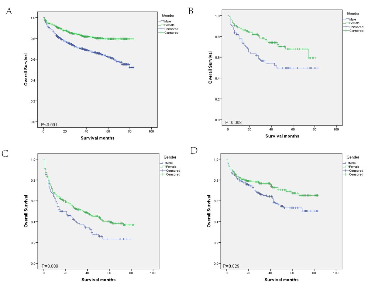
同時,研究人員還對性別中每個已知的婚姻狀況組進行了Kaplan-Meier分析。如圖4所示,每個婚姻狀況組的男性和女性患者之間存在顯著差異(已婚,p<0.001,圖4A;離婚,p=0.020,圖4B;喪偶,p=0.025,圖4C;單身,p=0.026,圖4D)。女性患者的生存率高于男性患者。

單變量分析結果如表1所示。分析顯示,診斷時的年齡、性別、組織學、T分期和N分期、手術、淋巴結清掃、化療、放療、腫瘤大小和婚姻狀況是重要的預后因素。這些單變量分析因子被納入多變量分析。多因素結果顯示,診斷時的年齡、性別、組織學、T分期、手術、腫瘤大小和婚姻狀況是OS的獨立預后因素(表 2)。

基于Cox回歸模型,研究人員構建了一個列線圖來預測早期GC患者的3年和5年OS(圖5)。這個列線圖創建了一個評分系統,其中每個包含的變量都可以根據其對OS的貢獻獲得相應的0-100分。將這些分數相加以計算總分后,根據圖底部的量表預測相應OS。該列線圖顯示,腫瘤大小是最重要的預后因素,其次是診斷和手術時的年齡。T分期、婚姻狀況、性別和組織學對早期GC患者的預后也有中等影響。

總之,本研究列線圖包括診斷時的年齡,性別,T期,組織學,腫瘤大小,手術和婚姻狀況,危險因素有效地預測了早期GC的預后。該列線圖可以幫助評估GC患者的預后和治療。
雖然婚姻狀況是一個很少參加GC研究的因素,在本研究的列線圖中也顯示出對生存的中等影響。已婚患者預后最好,其次是單身患者,分居患者的預后最差。這一結果與Kaplan-Meier生存曲線一致。研究人員推測,這可能是由于已婚患者有更好的經濟條件和情感鼓勵,而分居患者可能更容易經歷經濟和情緒的困境。
原文來源:
Lixiang Zhang, et al. A model established using marital status and other factors from the Surveillance, Epidemiology, and End Results database for early stage gastric cancer. J Investig Med 2022;0:1–8.
doi:10.1136/jim-2021-002285
- 上一篇
European?Radiology:放射組學在胃癌精準醫療中的機遇與挑戰
胃癌(GC)是世界上第五大常見的惡性腫瘤,估計每年有超過一百萬的新病例確診,也是癌癥相關死亡的第三大常見原因。GC的主要治療方式包括新輔助治療、內窺鏡粘膜下剝離術、根治手術和輔助治療。雖然GC的診斷技術和多學科治療策略取得了重大進展,但由于腫瘤的異質性和高復發率,其結果仍不令人滿意。 影像學是一種非侵入性的檢查方法,被常規用于診斷及監測治療反應評估。近十年來
- 下一篇
GC & GPC:胃腸道菌群與中醫藥干預
胃癌 (GC) 的發病率和死亡率不斷上升,已成為全球健康威脅。在胃癌的病理演變過程中,萎縮、腸化生、假幽門腺化生、異型增生被視為胃癌前病變(GPC)或胃癌癌前病變(PLGC),這代表了預防 GC 的有效干預階段。隨著微生態學的發展,GC和GPC的研究轉向了胃腸道菌群,并取得了一些進展。此外,中藥(TCM)的應用在相關臨床試驗中取得了良好的效果。此文就胃腸道菌